
C.R. Acad. Sciences Paris, Série B, t. 290, n. 20 (1980), pàgina 453

C.R. Acad. Sciences Paris, Série B, t. 290, n. 20 (1980), pàgina 454

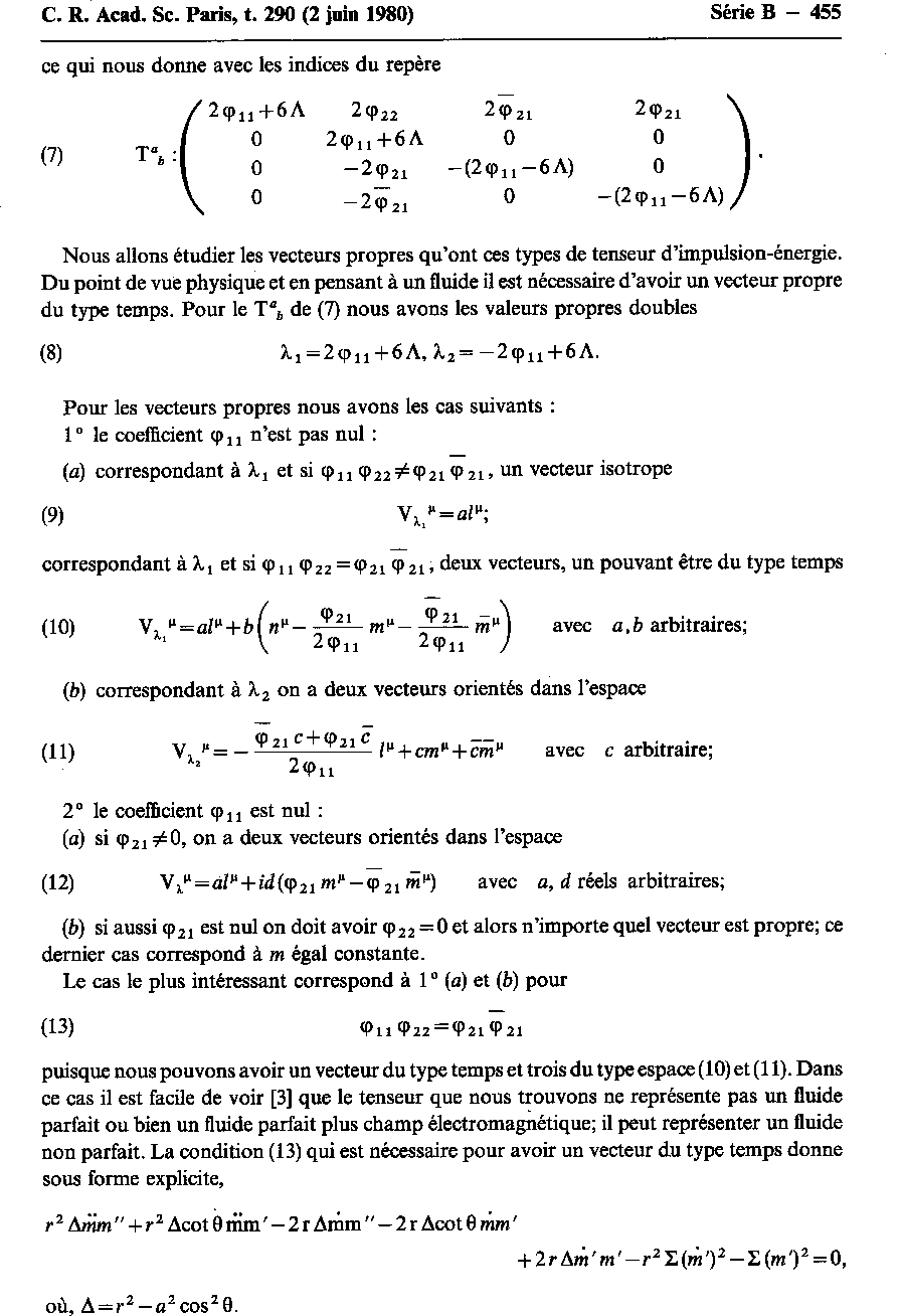
C.R. Acad. Sciences Paris, Série B, t. 290, n. 20 (1980), pàgina 455

C.R. Acad. Sciences Paris, Série B, t. 290, n. 20 (1980), pàgina 455